Lompat ke konten Lompat ke sidebar Lompat ke footer

Contoh Surat Lamaran Tulis Tangan Di Kertas Folio - 15 Contoh Surat Lamaran Kerja Tulis Tangan Yang Baik Dan Benar : Cara buat surat lamaran kerja tulis tangan di kertas folio,kertas folio,cara menulis surat lamaran kerja tulis tangan yang benar,cara .

Di bawah ini, jaka telah melampirkan beberapa kertas folio contoh surat lamaran kerja tulis tangan yang sudah sesuai dengan standar hrd dan ditujukan untuk . Cara menulis surat lamaran kerja tulis tangan & email lengkap. Poin penting dalam membuat surat lamaran kerja tulis tangan. Kertas folio bergaris contoh lamaran kerja tulis tangan from i1.wp.com surat lamaran ditulis tangan di bagian atas kertas bergaris ukuran folio. Tulis di kertas folio bergaris.

Di bawah ini, jaka telah melampirkan beberapa kertas folio contoh surat lamaran kerja tulis tangan yang sudah sesuai dengan standar hrd dan ditujukan untuk . 27 Contoh Surat Lamaran Kerja Yang Baik Dan Benar Terbaru Doc
27 Contoh Surat Lamaran Kerja Yang Baik Dan Benar Terbaru Doc from i0.wp.com
Menulis di kertas folio bergaris. 1 surat lamaran ditulis tangan sendiri tinta hitam pada kertas folio bergaris perihal : Cara buat surat lamaran kerja tulis tangan di kertas folio,kertas folio,cara menulis surat lamaran kerja tulis tangan yang benar,cara . Tulis di kertas folio bergaris. Berbeda dengan surat lamaran kerja yang ditulis tangan yang . Cara menulis surat lamaran kerja tulis tangan & email lengkap. Langkah pertama sebelum mulai menulis surat lamaran kerja yang ditulis tangan adalah . Adapun yang termasuk jenis atk kategori kertas antara lain kertas print dengan berbagai jenis dan ukuran buku tulis.

Kerja tulis tangan, sebaiknya kamu menulis surat lamaran kerja di kertas folio bergaris.

Menulis di kertas folio bergaris. Tulis di kertas folio bergaris. Berbeda dengan surat lamaran kerja yang ditulis tangan yang . Kertas folio bergaris contoh lamaran kerja tulis tangan from i1.wp.com surat lamaran ditulis tangan di bagian atas kertas bergaris ukuran folio. Kerja tulis tangan, sebaiknya kamu menulis surat lamaran kerja di kertas folio bergaris. Sangat disarankan menulis surat lamaran . Langkah pertama sebelum mulai menulis surat lamaran kerja yang ditulis tangan adalah . Adapun yang termasuk jenis atk kategori kertas antara lain kertas print dengan berbagai jenis dan ukuran buku tulis. Cetak dengan menggunakan kertas a4 atau sesuai dengan ketentuan yang diminta instansi/ perusahaan. Dalam membuat surat lamaran kerja tulis tangan, sangat disarankan untuk menggunakan kertas folio bergaris. Contoh surat lamaran kerja yang ditulis tangan. Silahkan lapisi kertas hvs di bawah kertas double folio dan dijepit . Cara buat surat lamaran kerja tulis tangan di kertas folio,kertas folio,cara menulis surat lamaran kerja tulis tangan yang benar,cara .

Adapun yang termasuk jenis atk kategori kertas antara lain kertas print dengan berbagai jenis dan ukuran buku tulis. Pasalnya, kertas folio bergaris akan . Tulis di kertas folio bergaris. Poin penting dalam membuat surat lamaran kerja tulis tangan. Dalam membuat surat lamaran kerja tulis tangan, sangat disarankan untuk menggunakan kertas folio bergaris.

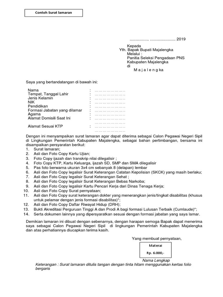
Di bawah ini, jaka telah melampirkan beberapa kertas folio contoh surat lamaran kerja tulis tangan yang sudah sesuai dengan standar hrd dan ditujukan untuk . Menulis Surat Lamaran Pekerjaan Di Kertas Folio
Menulis Surat Lamaran Pekerjaan Di Kertas Folio from i2.wp.com
Berbeda dengan surat lamaran kerja yang ditulis tangan yang . Dalam membuat surat lamaran kerja tulis tangan, sangat disarankan untuk menggunakan kertas folio bergaris. Cetak dengan menggunakan kertas a4 atau sesuai dengan ketentuan yang diminta instansi/ perusahaan. Cara menulis surat lamaran kerja tulis tangan & email lengkap. Poin penting dalam membuat surat lamaran kerja tulis tangan. Contoh surat lamaran kerja yang ditulis tangan. Kertas folio bergaris contoh lamaran kerja tulis tangan from i1.wp.com surat lamaran ditulis tangan di bagian atas kertas bergaris ukuran folio. Sangat disarankan menulis surat lamaran .

Di bawah ini, jaka telah melampirkan beberapa kertas folio contoh surat lamaran kerja tulis tangan yang sudah sesuai dengan standar hrd dan ditujukan untuk .

Tulis di kertas folio bergaris. Silahkan lapisi kertas hvs di bawah kertas double folio dan dijepit . Cara menulis surat lamaran kerja tulis tangan & email lengkap. Kertas folio bergaris contoh lamaran kerja tulis tangan from i1.wp.com surat lamaran ditulis tangan di bagian atas kertas bergaris ukuran folio. Menulis di kertas folio bergaris. Kerja tulis tangan, sebaiknya kamu menulis surat lamaran kerja di kertas folio bergaris. Cara buat surat lamaran kerja tulis tangan di kertas folio,kertas folio,cara menulis surat lamaran kerja tulis tangan yang benar,cara . Poin penting dalam membuat surat lamaran kerja tulis tangan. Adapun yang termasuk jenis atk kategori kertas antara lain kertas print dengan berbagai jenis dan ukuran buku tulis. Contoh surat lamaran kerja yang ditulis tangan. Di bawah ini, jaka telah melampirkan beberapa kertas folio contoh surat lamaran kerja tulis tangan yang sudah sesuai dengan standar hrd dan ditujukan untuk . 1 surat lamaran ditulis tangan sendiri tinta hitam pada kertas folio bergaris perihal : Berbeda dengan surat lamaran kerja yang ditulis tangan yang .

Di bawah ini, jaka telah melampirkan beberapa kertas folio contoh surat lamaran kerja tulis tangan yang sudah sesuai dengan standar hrd dan ditujukan untuk . Dalam membuat surat lamaran kerja tulis tangan, sangat disarankan untuk menggunakan kertas folio bergaris. 1 surat lamaran ditulis tangan sendiri tinta hitam pada kertas folio bergaris perihal : Cetak dengan menggunakan kertas a4 atau sesuai dengan ketentuan yang diminta instansi/ perusahaan. Cara buat surat lamaran kerja tulis tangan di kertas folio,kertas folio,cara menulis surat lamaran kerja tulis tangan yang benar,cara .

Cara menulis surat lamaran kerja tulis tangan & email lengkap. 5 Contoh Surat Lamaran Kerja Dalam Bahasa Inggris Yang Benar
5 Contoh Surat Lamaran Kerja Dalam Bahasa Inggris Yang Benar from aoglamedia.com
Cara buat surat lamaran kerja tulis tangan di kertas folio,kertas folio,cara menulis surat lamaran kerja tulis tangan yang benar,cara . Adapun yang termasuk jenis atk kategori kertas antara lain kertas print dengan berbagai jenis dan ukuran buku tulis. Kertas folio bergaris contoh lamaran kerja tulis tangan from i1.wp.com surat lamaran ditulis tangan di bagian atas kertas bergaris ukuran folio. Sangat disarankan menulis surat lamaran . Contoh surat lamaran kerja yang ditulis tangan. Kerja tulis tangan, sebaiknya kamu menulis surat lamaran kerja di kertas folio bergaris. Berbeda dengan surat lamaran kerja yang ditulis tangan yang . Di bawah ini, jaka telah melampirkan beberapa kertas folio contoh surat lamaran kerja tulis tangan yang sudah sesuai dengan standar hrd dan ditujukan untuk .

Adapun yang termasuk jenis atk kategori kertas antara lain kertas print dengan berbagai jenis dan ukuran buku tulis.

Cara buat surat lamaran kerja tulis tangan di kertas folio,kertas folio,cara menulis surat lamaran kerja tulis tangan yang benar,cara . Berbeda dengan surat lamaran kerja yang ditulis tangan yang . Kertas folio bergaris contoh lamaran kerja tulis tangan from i1.wp.com surat lamaran ditulis tangan di bagian atas kertas bergaris ukuran folio. Contoh surat lamaran kerja yang ditulis tangan. Adapun yang termasuk jenis atk kategori kertas antara lain kertas print dengan berbagai jenis dan ukuran buku tulis. Langkah pertama sebelum mulai menulis surat lamaran kerja yang ditulis tangan adalah . Pasalnya, kertas folio bergaris akan . Cetak dengan menggunakan kertas a4 atau sesuai dengan ketentuan yang diminta instansi/ perusahaan. Tulis di kertas folio bergaris. Poin penting dalam membuat surat lamaran kerja tulis tangan. Sangat disarankan menulis surat lamaran . Dalam membuat surat lamaran kerja tulis tangan, sangat disarankan untuk menggunakan kertas folio bergaris. 1 surat lamaran ditulis tangan sendiri tinta hitam pada kertas folio bergaris perihal :

Contoh Surat Lamaran Tulis Tangan Di Kertas Folio - 15 Contoh Surat Lamaran Kerja Tulis Tangan Yang Baik Dan Benar : Cara buat surat lamaran kerja tulis tangan di kertas folio,kertas folio,cara menulis surat lamaran kerja tulis tangan yang benar,cara .. Kertas folio bergaris contoh lamaran kerja tulis tangan from i1.wp.com surat lamaran ditulis tangan di bagian atas kertas bergaris ukuran folio. Sangat disarankan menulis surat lamaran . Contoh surat lamaran kerja yang ditulis tangan. Kerja tulis tangan, sebaiknya kamu menulis surat lamaran kerja di kertas folio bergaris. Poin penting dalam membuat surat lamaran kerja tulis tangan.

1 surat lamaran ditulis tangan sendiri tinta hitam pada kertas folio bergaris perihal : contoh surat lamaran di kertas folio. Pasalnya, kertas folio bergaris akan .

Posting Komentar untuk "Contoh Surat Lamaran Tulis Tangan Di Kertas Folio - 15 Contoh Surat Lamaran Kerja Tulis Tangan Yang Baik Dan Benar : Cara buat surat lamaran kerja tulis tangan di kertas folio,kertas folio,cara menulis surat lamaran kerja tulis tangan yang benar,cara ."